Автоматическое измерение скорости оседания эритроцитов: валидация и сравнение методов

Lapić I., Piva E., Spolaore F., Tosato F., Pelloso M., Plebani M.
Clinical Chemistry and Laboratory Medicine (CCLM), 2019

Вы можете скачать статью в формате .pdf, перейдя по ссылке

Введение

Скорость оседания эритроцитов (СОЭ) — это традиционный лабораторный тест, используемый для оценки воспалительных процессов, который был разработан в начале 1900-х годов. Его полезность в настоящее время широко обсуждается, главным образом потому, что СОЭ не обладает специфичностью по отношению к анализируемому веществу и заболеванию, а также зависит от множества физиологических и патофизиологических состояний. Тем не менее, его все еще считают ценным лабораторным тестом при определенных клинических условиях. В частности, СОЭ включена в диагностические критерии для ревматоидных заболеваний (ревматоидный артрит, ревматическая полимиалгия и гигантоклеточный артериит) как скрининговый тест на ортопедические инфекции, и имеет прогностическое значение при лимфоме Ходжкина.

Оригинальный метод СОЭ, предложенный Вестергреном в 1921 году, проводится на разбавленных образцах цельной крови и по-прежнему остается золотым стандартом, как это указано в обзоре Международного совета по стандартизации в гематологии (ICSH) от 2011 года. Недавняя классификация методов СОЭ, предложенная ICSH, определяет, помимо золотого стандарта, две дополнительные категории методов СОЭ: модифицированные методы Вестергрена, которые основаны на методологии Вестергрена с приемлемыми изменениями, включая более короткое время анализа, использование неразбавленной крови или различных разбавителей и альтернативные методы, включающие новые технологии для измерения СОЭ. Внедрение этих новых методик на автоматических анализаторах началось около двух десятилетий назад и открыло новую эру анализа СОЭ. Ко многим преимуществам этих автоматических систем относятся использование неразбавленной крови с этилендиаминтетрауксусной кислотой (ЭДТА), что увеличивает стабильность образца и позволяет использовать один образец как для СОЭ, так и для других гематологических тестов, тем самым оптимизируя рабочий процесс и повышая безопасность персонала за счет использования закрытых системы и сокращение времени выполнения работ. В парадоксальную эпоху повышенных рабочих нагрузок с постоянной необходимостью снижения затрат при одновременном повышении безопасности пациентов и сотрудников автоматизация измерения СОЭ считалась привлекательной и вскоре многие лаборатории перешли на использование этих новых методов. Безусловно, на первый план вышли проблемы стандартизации методов и сравнимости результатов СОЭ. Непрерывное развитие модифицированных и альтернативных методов измерения СОЭ и их постоянное внедрение в лабораторную рутину потребовали необходимости универсальных рекомендаций, которые послужили бы основой для лабораторий до внедрения методов СОЭ в практику. Документы ICSH и Института клинических лабораторных стандартов (CLSI) от 2010 и 2011 годов определяют, что все новые анализаторы и/или методологии должны оцениваться по сравнению с эталонным методом Вестергрена и только системы, дающие результаты как метод Вестергрена с разбавленной кровью за 60 минут или нормализованной. до 60 мин могут быть использованы в клинической практике. В 2017 году группа экспертов от имени ICSH опубликовала рекомендации по созданию уникального протокола валидации для методов СОЭ и предпосылок для контроля качества и отчетности результатов, чтобы обеспечить сопоставимость с эталонным методом. Целью данного исследования было проведение аналитической проверки двух автоматических анализаторов СОЭ, Ves-Matic Cube 200 (Diesse Diagnostica Senese Spa, Сиена, Италия) и TEST1 (Alifax Spa, Падуя, Италия). Для валидации методов мы следовали рекомендациям ICSH, результаты сравнивались с золотым стандартом — методом Вестергрена.

Материалы и методы

Протокол проверки

Валидация двух автоматизированных анализаторов СОЭ, Ves-Matic Cube 200 и TEST1, была проведена в отделении лабораторной медицины университетского госпиталя Падуи в соответствии с рекомендациями ICSH и включала исследование точности (внутрисерийное и межсерийное), сравнение методов, исследование влияния гемолиза, чувствительность к фибриногену, исследование переноса и оценка стабильности образца.

Образцы пациентов

Все образцы пациентов, использованные в исследовании, являлись остатками, отобранными из ежедневных рутинных образцов, как госпитализированных, так и амбулаторных пациентов из университетского госпиталя Падуи. Они были собраны в вакуумные пробирки-вакутейнеры объемом 3,0 мл (Becton Dickinson, Великобритания), обработанные в соответствии со спецификациями производителей и проанализированы в течение 4 часов после венопункции. Исследование было проведено в соответствии с требованиями Декларации Хельсинки.

Описание оцененных анализаторов

Ves-Matic Cube 200 — это автоматический анализатор СОЭ, работающий в закрытом режиме и проводящий анализ на первичных пробирках с ЭДТА. Метод основан на модифицированной методике оседания эритроцитов по Вестергрену. СОЭ определяется путем оптической регистрации разницы высоты столбика эритроцитов до и после оседания через определенный промежуток времени, причем первый результат получают через 20 минут, а последующие — каждые 18 секунд. Результаты корректируются с учетом изменений температуры, полученные результаты преобразуются в значения по Вестергрену.

TEST1 — это автоматический анализатор СОЭ, который также использует кровь с антикоагулянтом ЭДТА, принцип измерения которого основан на капиллярной фотометрической кинетической технологии. В частности, 175 мкл антикоагулированной крови аспирируется в капиллярную трубку и центрифугируется, вызывая оседание эритроцитов, которое затем измеряется фотометрически. Полученный результат экстраполируется для сравнения с традиционным методом Вестергрена. Анализатор TEST1 на самом деле вычисляет математически полученную СОЭ на основе формации Руло (столбиков эритроцитов). Первые результаты СОЭ доступны в течение 5 минут после начала анализа, с последующей выдачей результатов каждые 20 секунд. Новое поколение анализатора TEST1 отличается от предыдущего наличием нового датчика агрегации, который, как заявлено, повышает точность измерения, а также автоматическим циклом промывки после трех подряд идущих ошибок анализа и заданный период ожидания, предотвращающего забивку капилляров и минимизирующего необходимость ручного обслуживания.

Метод Вестергрена

Ручное измерение СОЭ по методу Вестергрена проводилось в соответствии с рекомендациями ICSH. Образцы анализировались в течение 4 часов после забора крови. ЭДТА-антикоагулированная кровь тщательно перемешивалась путем полного переворачивания пробирки 20 раз и разбавлялась 4:1 с помощью раствора цитрата натрия (3,8 %). Разбавленный образец перемешивался переворачиванием пробирки 20 раз для достижения гомогенности и немедленно механически аспирировался в бесцветную круглую стеклянную пробирку Вестергрена с внутренним диаметром 2,55 мм. Пробирку Вестергрена выдерживали в течение 60 мин в соответствующем штативе в устойчивом вертикальном положении в вытяжном шкафу, при постоянной температуре (18–25 °C) и без внешних воздействий, таких как вибрации, тепло и прямой солнечный свет. СОЭ определяли визуально через 60 мин как расстояние от верха уровня плазмы до верха слоя эритроцитов и записывали в мм. Все анализы по Вестергрену проводились одним аналитиком, чтобы свести к минимуму разницу пипетирования и интерпретации.

Узнать подробнее о рекомендациях ICHS по ссылке 🡢

Сравнение методов

Сравнение методов было выполнено как последовательное исследование и включало 245 образцов пациентов (149 мужчин и 96 женщин; средний возраст 64 года, в диапазоне от 0 до 96 лет) со значениями СОЭ, охватывающими весь аналитический диапазон соответствующих анализаторов (от 2 до 120 мм), удовлетворяющим требованиям рекомендации ICSH о том, что каждая треть аналитического диапазона, т.е. нижняя треть (< 40 мм), средняя (40–80 мм) и верхняя (> 80 мм), была охвачена как минимум 20 образцами. Все образцы анализировались на анализаторах Ves-Matic Cube 200, TEST1 и методе Вестергрена в течение 4 часов после венопункции.

Исследование точности

Оценка внутрисерийной точности проводилась с использованием пяти образцов пациентов с показателями СОЭ, охватывающими нижнюю (< 40 мм), среднюю (40–80 мм) и высокую (> 80 мм) трети аналитического диапазона. Все образцы были проанализированы 10 раз на Ves-Matic Cube 200 и 5 раз на анализаторе TEST1. Поскольку TEST1 использует определенное количество образца для каждого анализа, внутрисерийная точность оценивалась на основе пяти последовательных измерений. Межсерийная точность была выполнена с использованием коммерческих образцов контроля качества (КК) в нормальном и аномальном диапазоне; в частности, на Ves-Matic Cube 200 с использованием коммерчески доступных контрольных материалов СОЭ (Diesse Diagnostica Senese SpA, Сиена, Италия), состоящих из стабилизированной человеческой крови на двух уровнях, в то время как для коммерческих латексных контрольных образцов TEST1 (Alifax Spa, Падуя, Италия) — на трех уровнях. Контрольные образцы анализировались три раза в день в течение 5 дней подряд.

Влияние гемолиза

Влияние гемолиза оценивалось в 20 случайно отобранных рутинных образцах пациентов, охватывающих весь диапазон СОЭ. Для каждого пациента готовили две аликвоты по 3 мл цельной крови. Гемолиз индуцировали in vitro путем добавления 25 мкл лизирующего раствора, состоящего из 1,3 % глицерина (Osmored, Eurospital Spa, Триест, Италия) в одну аликвоту, а в другую аликвоту добавляли 25 мкл 0,9 %. физраствора для устранения эффекта разбавления. Образцы анализировались на всех оцениваемых анализаторах и по методу Вестергрена. Индекс гемолиза (ИГ) определяли на модульном анализаторе серии Cobas 8000 (Roche Diagnostics, Мангейм, Германия). Анализатор разбавляет аликвоту плазмы пациента 0,9 % физраствором, и ИГ рассчитывается по результатам измерения поглощения при длинах волн 600/570 нм с поправкой на поглощение, обусловленное липемией в образце. ИГ соответствует концентрации свободного гемоглобина, выраженной в г/л.

Для оценки влияния гемолиза на определение СОЭ погрешность была рассчитана по следующей формуле:

Чувствительность к фибриногену

Всего в исследовании приняли участие четыре здоровых добровольца (три женщины и один мужчина), набранные из числа сотрудников лаборатории. Концентрированный раствор фибриногена (ожидаемая концентрация 20 г/л) был приготовлен путем растворения лиофилизированного человеческого фибриногена (Sigma-Aldrich, St Louis, MO, USA) в теплом (37 °C) 0,9 % физиологическом растворе и стерильной фильтрации с использованием фильтра 0,22 мкм (Merck Millipore Ltd., Carrigtwohill, Co. Cork, Ireland), как рекомендовано производителем. Концентрацию фибриногена в исходном растворе измеряли автоматизированным методом Клаусса на коагулометре Sysmex CS-5100 (Siemens Healthineers, Эрланген, Германия). Готовили аликвоты 2 мл нормальной крови, и в каждую аликвоту добавляли 400 мкл только физиологического раствора, физиологического раствора с добавлением исходного фибриногена (в соотношениях 3:1, 1:1 и 1:3) или исходного раствора. СОЭ определяли в приготовленных смесях на анализаторах, подлежащих валидации (Ves-Matic Cube 200 и TEST1), а также по методу Вестергрена.

Перенос (контаминация)

Оценка переноса проводилась в соответствии с протоколом CLSI H26-A2, т.е. образец с высоким целевым значением (ВЦЗ) анализировался в трех экземплярах, после чего проводились три измеренияобразца с низким целевым значением (НЦЗ). Перенос рассчитывался по следующей формуле:

Перенос оценивался только для анализатора TEST1, поскольку он аспирирует определенное количество крови в один капилляр, который используется для анализа всех образцов, с циклом промывки между каждым анализом. Однако такой принцип измерения чреват переносом образца, если промывка не завершена. Ves-Matic Cube 200, с другой стороны, позволяет образцам оседать и просто измеряет расстояние оседания, без какого-либо расхода образца, что делает невозможным загрязнение образца.

Стабильность образца

Стабильность была проверена на 20 случайно выбранных пациентах, у которых были взяты две пробирки ЭДТА для рутинной лабораторной диагностики. СОЭ определяли в свежих образцах, а также через 4, 8 и 24 часа после взятия образца. Один парный образец хранился при комнатной температуре (КТ), а другой — при 4 °C, и СОЭ измерялся на анализаторах Ves-Matic Cube 200 и TEST1 во всех исследуемых временных точках. Образцам, хранившимся при 4 °C, давали возможность вернуться к КТ перед повторным тестированием. Метод Вестергрена применялся только для свежих образцов и после 24 часов хранения, поскольку объем образца был небольшим.

Статистический анализ

Для исследования точности рассчитывали средние значения, стандартные отклонения (СО) и коэффициенты вариации (КВ). Для оценки нормальности распределения данных использовали критерий Д’Агостино-Пирсона. Коэффициент ранговой корреляции Спирмена (ρ) рассчитывался для оценки силы и направления связи между сравниваемыми данными. Для сравнения групп использовали парный выборочный t-тест и знаковый ранговый критерий Вилкоксона, p < 0,05 считался статистически значимым. Линейная регрессия проводилась с использованием регрессии Пассинга-Баблока. Различия между методами оценивались путем расчета смещения и границ согласия с использованием анализа Бланда-Альтмана. Статистический анализ проводился с помощью статистического программного обеспечения MedCalc, версия 14.12.0 (MedCalc, Остенде, Бельгия).

Результаты

Исследование точности

Результаты исследования точности внутри и между сериями представлены в таблицах 1 и 2 как среднее ± СО и КВ (%), соответственно.

Сравнение методов

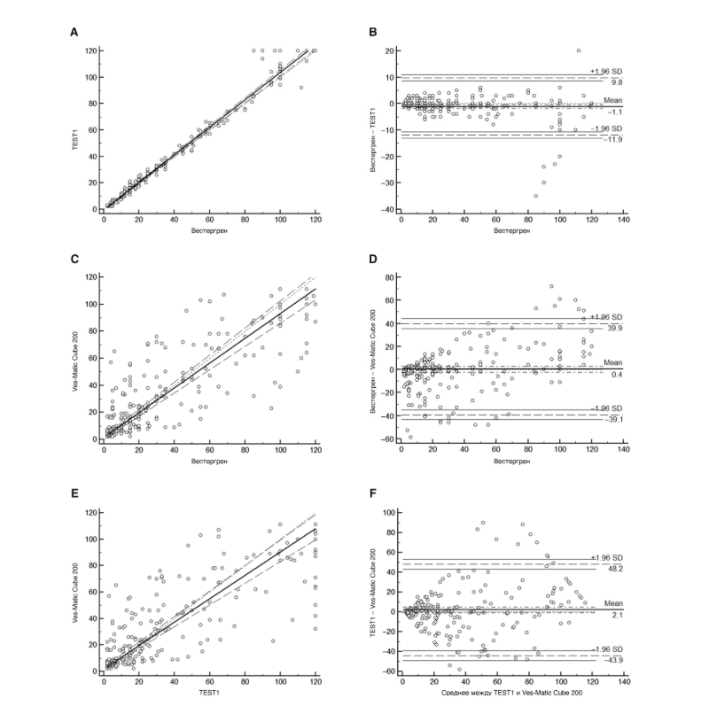
Всего было проанализировано 245 образцов пациентов из оригинальных вакутейнеров с ЭДТА на двух автоматических анализаторах (Ves-Matic Cube 200 иTEST1) и в разведенной крови сЭДТА с использованием золотого стандарта — метода Вестергрена. Средние значения СОЭ составили 28 мм (95 % ДИ: 24–32 мм) для анализаторов Ves-Matic Cube 200 и TEST1, тогда как для метода Вестергрена было получено среднее значение 27 мм (95 % ДИ: 23–31 мм). Результаты СОЭ, полученные анализаторами Ves-Matic Cube 200 и TEST1 по сравнению с методом Вестергрена, не показали статистически значимой разницы (p = 0,218 и p = 0,165, соответственно). Высокая корреляция была продемонстрирована при сравнении анализатора TEST1 с эталонным методом Вестергрена (ρ = 0,99), в то время как сравнение анализатора Ves-Matic Cube 200 дало более низкие и почти одинаковые коэффициенты корреляции, т.е. 0,82 для сравнения с Вестергреном и 0,81 с анализатором TEST1, при p < 0,001 для обоих сравнений. Регрессионный анализ выявил незначительную постоянную и пропорциональную разницу между результатами СОЭ, полученными с помощью анализатора TEST1, и методом Вестергрена с уравнением регрессии y = -0,28 + 1,04x (Рисунок ниже) и средним смещением -1,1 (95 % ДИ: от -1,8 до -0,4), полученным с помощью анализа Бланд-Альтмана, со значением 9,8 для верхней границы и -11,9 для нижней границы (Рисунок ниже). При сравнении Ves-Matic Cube 200 и эталонного метода Вестергрена не было получено ни постоянной, ни пропорциональной разницы, что дало уравнение регрессии y = 1,42 + 0,92x (Рисунок ниже), а среднее смещение составило 0,4 (95 % ДИ: от -2,2 до 2,9). Верхний и нижний пределы смещения составили 39,9 и -39,1, соответственно (Рисунок ниже). Постоянная и пропорциональная разница была доказана при сравнении Ves-Matic Cube 200 и TEST1, что дало уравнение регрессии y = 1,86 + 0,89x (Рисунок ниже). Среднее смещение составило 1,4 (95 % ДИ: от -1,4 до 4,3) со значением 45,2 для верхнего и -42,3 для нижнего предела (Рисунок ниже). Полученные систематические ошибки для всех оцененных сравнений не были значительными.

Результаты были дополнительно разделены на подгруппы низких (< 40 мм), средних (40–80 мм) и высоких (> 80 мм) значений СОЭ, полученных по Вестергрену. Результаты регрессионного анализа Пасса-Баблока, анализа Бланда-Альтмана и коэффициента ранговой корреляции Спирмена представлены в таблице 3.

Образец 1 Образец 2 Образец 3 Образец 4 Образец 5
Ves-Matic Cube 200 (n = 10) TEST1 (n = 5) Ves-Matic Cube 200 (n = 10) TEST1 (n = 5) Ves-Matic Cube 200 (n = 10) TEST1 (n = 5) Ves-Matic Cube 200 (n = 10) TEST1 (n = 5) Ves-Matic Cube 200 (n = 10) TEST1 (n = 5)
Среднее СОКВ, %5 ± 2
33,5
2 ± 1
37,3
19 ± 2
9,2
19 ± 1
4,4
26 ± 4
14,6
50 ± 9
18,3
86 ± 4
4,6
58 ± 1
2,0
76 ± 4
5,3
119 ± 1
1,1
СО — стандартное отклонение; КВ — коэффициент вариации.
Таблица 1. Внутрисерийная точность анализаторов Ves-Matic Cube 200 и TEST1
Ves-Matic Cube 200 TEST1
Контроль СОЭ нормальный (лот 413) Контроль СОЭ аномальный (лот 413) Латекс контроль 2 (лот 1943B) Латекс контроль 3 (лот 1943B) Латекс контроль 4 (лот 1943B)
Среднее СОКВ, %5.8 ± 1.4
24,9
55.6 ± 3.2
5,8
8.0 ± 0
0
17.9 ± 0.4
2,0
61.7 ± 0.7
1,2
Контрольные образцы анализировались в трех повторностях в течение 5 дней подряд.
СО — стандартное отклонение; КВ — коэффициент вариации
Таблица 2. Межсерийная точность анализаторов Ves-Matic Cube 200 и TEST1, полученная путем анализа коммерческих контрольных образцов в нормальном и аномальном диапазонах, т.е. на Ves-Matic Cube 200 использовались контрольные материалы СОЭ на двух уровнях, в то время как на TEST1 использовались латексные контрольные образцы на трех уровнях
Ves-Matic Cube 200 TEST1
Отсечка по оси Y
(95 % ДИ)
Наклон
(95 % ДИ)
ρ Средняя погрешность
(95 % ДИ)
Отсечка по оси Y
(95 % ДИ)
Наклон
(95 % ДИ)
ρ Средняя погрешность
(95 % ДИ)
Низкая
(n = 169)
-1,5 (-3,7 до -0,3)1.5 (1,3 до 1,9)0,655,6 (-7,7 до -3,4)-0,7 (-1,1 до 0)1,1 (1,0 до 1,1)0,970 (-0,3 до 0,3)
Средняя
(n = 35)
-157,1 (-365 до -83)9,2 (-18 до 18) 0,482,1 (-6,3 до 10,5)1,0 (-8,6 до 4,7)1,0 (0,9 до 1,2)0,94 0,8 (-1,9 до 0,3)
Высокая
(n = 41)
-170,8 (-416 до -58)2,5 (1,4 до 5,0)0,3923,3 (16,5 до 30,1)15 (-13,6 до 30,7)0,8 (0,7 до 1,1)0,56-5,7 (-9,3 до -2,0)
Таблица 3. Результаты регрессионного анализа Пассинга-Баблока, анализа Бланда-Альтмана и рангового коэффициента корреляции Спирмена для сравнения Ves-Matic Cube 200 и TEST1 с оригинальным методом Вестергрена, разделенные на подгруппы с низкой, средней и высокой СОЭ

Влияние гемолиза

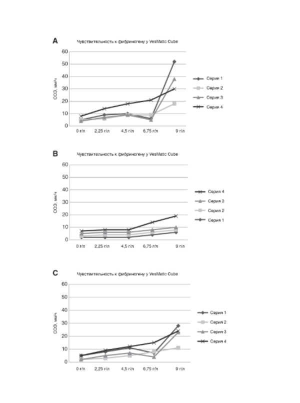
Чувствительность СОЭ к добавленному фибриногену представлена на рисунке ниже. Конечная концентрация исходного раствора фибриногена составила 9 г/л из-за потери фибриногена в процессе фильтрации.

Наиболее значительное повышение СОЭ, связанное с увеличением концентрации фибриногена, наблюдалось для Ves-Matic Cube 200, в то время как TEST1 оказался наименее чувствительным к влиянию фибриногена. Устойчивое повышение СОЭ с увеличением концентрации фибриногена наблюдалось для всех методов, однако для более низких концентраций фибриногена оно не было клинически значимым. Клинически значимое увеличение наблюдалось при добавленной концентрации 9 г/л, при этом максимальное повышение СОЭ было в 10,4 раза выше исходного уровня (с 5 мм до 52 мм) и было получено для Ves-Matic Cube 200.

Медиана
(мин-макс)
Значение
p
Средняя погрешность,
%
Ves-Matic Cube 200
Негемолизированный
Гемолизированный
10,5 (4–110)
8,5 (2–102)
0,032 -13,4
TEST1
Негемолизированный
Гемолизированный
20,5 (4–120)
21 (2–120)
0,562 -18,9
Westergren
Негемолизированный Гемолизированный
10 (3–105)
6,5 (2–82)
0,008-24,5
Таблица 4. Результаты оценки влияния гемолиза на определение СОЭ для анализаторов Ves-Matic Cube 200 и TEST1 и метода Вестергрена

Перенос

Оценка потенциального переноса для анализатора TEST1 дала значение 4,2 %. Однако этот результат следует интерпретировать не только с учетом внутрисерийного СV, полученного в исследовании точности. Внутрисерийный СV для низкого и среднего аналитического диапазона было выше, что позволяет предположить, что данный результат не может считаться значительным с точки зрения переноса образца, а скорее является следствием аналитической вариации.

Стабильность образца

Результаты оценки стабильности образцов для анализаторов Ves-Matic Cube 200 и TEST1 представлены в таблице 5. В целом, снижение результатов СОЭ наблюдалось после хранения во всех временных точках и условиях, но статистически значимая разница наблюдалась только для результатов СОЭ на Ves-Matic Cube 200 после 24-часового хранения, как при комнатной температуре, так и при 4 °C. Более того, результаты СОЭ существенно не отличались после 24-часового хранения при комнатной температуре и 4 °C при анализе методом Вестергрена (p = 0,132 и p = 0,127, соответственно), что дало среднюю разницу -4,2 (95 % ДИ: -9,7–1,4) и 3,4 (95 % ДИ: -1,1–7,9), соответственно.

Образцы (n = 20) Ves-Matic Cube 200 TEST1
Среднее значение,
мм
Средняя разница,
мм (95 % ДИ)
Значение
p
Среднее значение,
мм
Средняя разница,
мм (95 % ДИ)
Значение
p
Свежий
Хранится при КТ
4 ч
8 ч
24 ч
Хранится при 4 °C
4 ч
8 ч
24 ч
26

25
20,6
10,2

25,4
24,7
18,8


-1,0 (-5,8 до 3,9)
-5,4 (-13,3 до 2,5)
-15,8 (-25,5 до -6,1)

-0,6 (-4,7 до 3,5)
-1,4 (-4,9 до 2,2)
-7,1 (-11,8 до -2,4)


0,685
0,166
0,003

0,764
0,436
0,005
32,2

32,1
30,5
27,5

37,1
34,5
31,7


-0,1 (-2,6 до 2,5)
-1,7 (-5,5 до 2,2)
-4,7 (-10,5 до 1,1)

5,0 (-0,7 до 10,6)
2,3 (-2,8 до 7,4)
-0,5 (-6,1 до 5,1)


0,967
0,384
0,106

0,082
0,359
0,855
КТ — Комнатная тепература
Таблица 5. Оценка стабильности образцов для анализаторов Ves-Matic Cube 200 и TEST1 после хранения при комнатной температуре и 4 °C в течение 4, 8 и 24 часов

Обсуждение

Оседание эритроцитов — это все еще частично понятное физико-химическое явление склонности эритроцитов к оседанию, зависящее от влияния целого ряда физиологических и патофизиологических факторов. Этот процесс характеризуется тремя отдельными фазами: фаза агрегации, когда отрицательно заряженные эритроциты соединяются в «столбики», затем следует стадия оседания и, наконец, стадия уплотнения, когда эритроциты оседают на дне пробирки. Формирование эритроцитарных столбиков имеет решающее значение для общего СОЭ и в значительной степени зависит от присутствия положительно заряженных белков плазмы, которые вызывают агрегацию эритроцитов, в частности фибриногена и глобулинов. Понимание этого механизма важно для разработки новых технологий СОЭ. В то время как метод Вестергрена и его модификации просто измеряют общее явление оседания, альтернативные методы включают принципы измерения, которые оценивают кинетику оседания эритроцитов в основном в начальной фазе и применяют измерения через различные временные интервалы.

В данном исследовании мы стремились оценить аналитическую производительность двух автоматических анализаторов СОЭ, основанных на различных методах определения. Сходные внутрисерийные CV были получены для обоих оцениваемых анализаторов с ожидаемо самыми высокими CV в самом низком диапазоне, что согласуется с результатами других исследований, в которых также наблюдалось существенное снижение точности при низких уровнях СОЭ

Эти вариации являются следствием малых чисел, а не ухудшения точности, и, как уже сообщалось, не считаются клинически значимыми. Интересно, что CV для межсерийной точности показали значительно лучшую производительность TEST1 по сравнению с VesMatic Cube 200. Это можно объяснить разным составом используемых контрольных образцов, а именно: в тесте TEST1 используются контрольные образцы из латекса, в то время как коммерчески доступная стабилизированная человеческая кровь служит контрольными образцами в VesMatic Cube 200.

В целом, линейная регрессия и анализ Бланда-Альтмана показали хорошее соответствие между модифицированным (Ves-Matic Cube 200) и альтернативным (TEST1) методом определения СОЭ с золотым стандартом. Это ясно показывает, что недавно разработанные анализаторы СОЭ, основанные на различных методологических принципах, могут служить действительной заменой методу золотого стандарта, способствуя тем самым лучшей гармонизации определения СОЭ. Однако были отмечены некоторые различия, которые можно объяснить разными методами.

Наблюдался больший разброс результатов в сравнениях, где использовался Ves-Matic Cube 200, а также более случайный разброс результатов СОЭ на более высоких уровнях СОЭ, как уже сообщалось в ранее опубликованных исследованиях независимо от типа анализатора

Интересно, что более низкие коэффициенты корреляции (0,81 и 0,82) были получены для всех сравнений с участием VesMatic Cube 200, что указывает на отклонения в результатах СОЭ по сравнению с методом Вестергрена и анализатором TEST1, которые не следует упускать из виду. О подобной корреляции Ves-Matic Cube 200 с методом Вестергрена уже сообщалось в двух исследованиях, в то время как Перович и др. получили гораздо более высокий коэффициент корреляции

Гемолиз в исследуемом диапазоне оказал отрицательное влияние на значения СОЭ, полученными всеми методами, причем статистически значимое снижение наблюдалось для Ves-Matic Cube 200 и метода Вестергрена. Наш подход к оценке влияния гемолиза был аналогичен тем, о которых сообщалось в двух предыдущих исследованиях, которые были основаны на добавлении нативных образцов в лизирующий раствор, содержащий глицерин.

Наблюдаемый негативный эффект гемолиза может быть результатом лизиса эритроцитов и менее уплотненных столбиков эритроцитов, что вызывает ошибки в чтении, как оптические в случае с Ves-Matic Cube 200, так и визуальные для ручного метода Вестергрена. Анализатор TEST1, с другой стороны, показал меньшее влияние гемолиза, скорее всего, из-за кинетического принципа измерения СОЭ.

В данном исследовании мы также стремились оценить чувствительность реакции СОЭ на увеличение концентрации фибриногена путем добавления фибриногена in vitro. Насколько нам известно, наше исследование является первым, посвященным этой теме. Известно, что фибриноген является основным белком, ответственным за агрегацию, он входит в число наиболее важных переменных, влияющих на величину СОЭ, наряду с гематокритом и изменениями в морфологии эритроцитов Кинетическое исследование влияния фибриногена на СОЭ показало, что его эффект наиболее заметен во второй фазе процесса оседания эритроцитов, где фибриноген, благодаря своему положительному заряду, опосредует образование крупных агрегатов и усиливает оседание эритроцитов.Этот механистический принцип и методология методов СОЭ могут объяснить результаты, полученные в нашем исследовании. Таким образом, мы показали, что анализатор Ves-Matic Cube 200 наиболее чувствителен к увеличению концентрации фибриногена, метод Вестергрена подвержен умеренному влиянию, а анализатор TEST1 не показал клинически значимого увеличения СОЭ после добавления фибриногена.

Кроме того, была изучена стабильность образцов для определения СОЭ, и мы обнаружили, что задержка анализа вызывает снижение значений СОЭ на обоих оцениваемых анализаторах, как уже сообщалось в ранее опубликованных работах.Тем не менее, значительная разница была замечена только для результатов СОЭ, измеренных на Ves-Matic Cube 200, при анализе после 24-часового хранения как при комнатной температуре, так и при охлаждении до 4 °C, в то время как другие исследования, посвященные стабильности образцов для Ves-Matic Cube 200, обнаружили статистически значимую разницу в результатах СОЭ только при хранении при комнатной температуре Интересно, что хотя результаты, полученные методом Вестергрена, не показали статистически значимой разницы после 24-часового хранения, а снижение значений СОЭ наблюдалось при хранении образцов при комнатной температуре, в то время как общее увеличение было зафиксировано при хранении при 4 °C. Тем не менее, мы считаем, что лабораториям следует проводить анализ СОЭ в течение одного рабочего дня, если это возможно, чтобы избежать выдачи потенциально искаженных результатов СОЭ.

СОЭ не является мерой отдельного аналита, а является результатом сложного биофизического явления, и на результаты СОЭ в отдельных случаях могут влиять различные методологические принципы. На самом деле, Ves-Matic Cube 200 просто измеряет расстояние оседания эритроцитов, в то время как TEST1 использует кинетический метод, оценивающий СОЭ на основе формирования столбиков. Ves-Matic Cube 200, подобно методу Вестергрена, может быть подвержен влиянию гематокрита, в то время как TEST1 с его капиллярным фотометрическим кинетическим методом менее чувствителен к изменениям морфологии эритроцитов или уровням гематокрита.

В нашем исследовании была подтверждена аналитическая достоверность анализаторов TEST1 и Ves-Matic Cube 200, а также их высокая сопоставимость с эталонным методом. Согласно нашим выводам, можно наблюдать некоторые различия, что делает их взаимозаменяемое использование сомнительным. В течение двух десятилетий использования автоматизированных анализаторов СОЭ были предприняты усилия по стандартизации измерения СОЭ. Как показало наше исследование, улучшения очевидны, и новые технологии показывают высокую сопоставимость с эталонным методом. Тем не менее, взаимозаменяемое использование модифицированных и альтернативных методов СОЭ следует применять с осторожностью. Поэтому требуется, чтобы лаборатории проводили всеобъемлющую валидацию анализаторов СОЭ перед их внедрением в рутинную практику, следуя рекомендациям ICSH, чтобы обеспечить клинически значимые результаты, которые подходят для собственной популяции пациентов лаборатории и отвечают поставленным клиническим требованиям.